产品简介
谷胱甘肽还原酶在许多组织中都有分布,可以维持细胞内充足的还原型谷胱甘肽(GSH)水平。
检测原理
谷胱甘肽还原酶可以还原氧化型谷胱甘肽(GSSG)生成还原型谷胱甘肽(GSH),而GSH可以和生色底物DTNB反应产生黄色的TNB和GSSG,并可以通过测定A412来检测TNB的生成量。适当设置应体系,前后两个反应合并起来后, GSSG/GSH过量而GR相对不足时,该反应体系中谷胱甘肽还原酶就成为整个反应体系的限速因素,此时黄色的TNB生成量和谷胱甘肽还原酶的活性呈线性正相关。从而通过测定A412就可以计算出谷胱甘肽还原酶的活性水平。本试剂盒的具体反应原理如下:

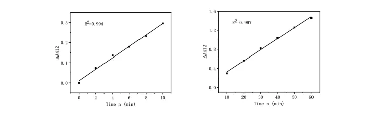
本试剂盒检测37μg肝脏样品的检测效果如下图所示。

产品组分
编号 | 产品名称 | 包装规格(100T) | 保存方式 |
试剂一 | 谷胱甘肽还原酶检测缓冲液 | 50ml | -20℃ |
试剂二 | 样品稀释液 | 50ml | -20℃ |
试剂三 | NADPH | 5mg | -20℃,NADPH溶解后宜适当分装并-70ºC保存,4ºC可以保存一天,-20ºC保存一周后NADPH会降解10%以上。 |
试剂四 | 氧化型谷胱甘肽(GSSG) | 14.2mg | -20℃,GSSG配制成溶液,分装后-20ºC保存。 |
试剂五 | DTNB | 4.5mg | -20℃,DTNB配制成溶液,分装后-20ºC保存。 |
试剂六 | DMSO | 1.5ml | -20℃ |
耗材一 | 96 孔酶标板 | 1 板 | RT |
耗材二 | 96 孔覆膜 | 2 张 | RT |
保存条件
未拆封的试剂盒可在 -20℃保存12个月。
注意事项
1. 本试剂盒检测时涉及氧化还原反应,因此所有氧化剂或还原剂都会干扰本试剂盒的测定。如果在样品中的还原剂无法避免,例如DTT、巯基乙醇等,则这些还原剂的总浓度至少低于0.1mM。 0.15mM的DTT可以抑制40%的酶活力。另外,硫酸钠、硫酸铵和铁氰化物都会干扰本试剂盒的测定。请尽量避免。
2. 样品可以立即测定,也可以-70ºC冻存待以后测定。
3. 一定要严格控制反应时的温度为25ºC,否则会引起较多误差。
4. NADPH不太稳定,要严格按照后续说明操作,谨防失活。
5. 本产品仅限于专业人员的科学研究用,不得用于临床诊断或治疗,不得用于食品或药品,不得存放于普通住宅内。