产品简介
血氨主要来源是内源性氨和外源性氨。氨在血中保持恒定状态,即血氨的来源和去路保持动态平衡。氨是有毒物质,主要在肝脏进行代谢解毒。当肝功能严重损害时,氨不能被解毒。氨在中枢神经系统聚集,从而导致肝性脑病。
检测原理
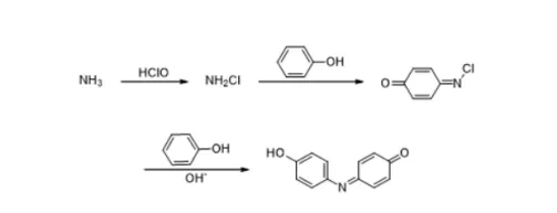
本法根据氨的靛酚蓝反应原理,通过蛋白沉淀剂将血清(浆)中蛋白沉淀后,利用酚-次氯酸盐直接显色法测定血氨,生成的蓝色靛酚和氨的浓度成正比,在635nm处有特殊吸收峰,据此可由吸光值计算出样本中血氨的含量。
用蛋白沉淀剂沉淀血液蛋白质,并破坏酶活性,防止离体后产生游离氨,同时除去大部分干扰显色物质,用 Berthelot 反应使无蛋白滤液中形成靛蓝,颜色深浅与血氨含量成正比,与标准液比较测定血液氨含量。其检测原理如下图:

产品组分
编号 | 产品名称 | 包装规格(100T) | 保存方式 |
试剂一 | 蛋白沉淀剂Ⅰ | 20 mL | -20℃,开瓶后可2-8℃保存。 |
试剂二 | 蛋白沉淀剂Ⅱ | 20 mL | -20℃,开瓶后可2-8℃保存。 |
试剂三 | 显色剂Ⅰ | 15 mL | -20℃,避光,开瓶后可2-8℃保存。 |
试剂四 | 显色剂Ⅱ | 15 mL | -20℃,避光,开瓶后可2-8℃保存。 |
试剂五 | 7mmol/L标准品 | 1.5 mL | -20℃,开瓶后可2-8℃保存。 |
耗材一 | 96 孔酶标板 | 1 板 | RT |
耗材二 | 96 孔覆膜 | 2 张 | RT |
保存条件
未拆封的试剂盒可在 -20℃保存12个月,开瓶使用后可在2-8℃保存3个月。
注意事项
1. 红细胞中氨含量比血浆高2.8倍,故检测时样本需避免溶血,避免红细胞内的氨进入血浆。
2. 由于血样离体后谷氨酰胺和多肽易水解释放出氨,故样本取样后需及时检测,在2-8℃保存2-4 h,在-20℃保存24 h。
3. 取样后要及时密封,避免氨的溢出。
4. 本产品仅限于专业人员的科学研究用,不得用于临床诊断或治疗,不得用于食品或药品,不得存放于普通住宅内。