标记用Cy花菁荧光染料简介



一、初识CY 染料

CY 为花菁 (Cyanine) 的缩写,是含有两个氮原子之间多次甲基桥链且带有分散电荷的分子。虽然Cyanine在词源上源自蓝色的色调,但Cyanine家族涵盖了电磁谱从近红外到紫外线区域的多种染料类型。经典的菁染料含有两个含氮杂环,分子内部含有由碳氢(CH)n 组成的共轭链,n 可为奇数或偶数。由于其结构,染料具有极高的消光系数,通常超过100000 L/(mol*cm)。分子内部不同的取代基可以控制花菁色素的特性,如吸收波长、光稳定性及荧光。例如,吸收波长和荧光波长可以通过选择聚合亚乙烯基单元的长度来控制:较长的花菁染料具有更高的吸收和发射波长,可达近红外区域 (如图1所示)。根据链中的碳原子数,花菁染料被分为一甲川基 (CY1n=0)、三甲川基 (CY3n=1)、五甲川基 (CY5n=2) 和七甲川基 (CY7n=3)。除细胞显影外,它们也常用于生物筛选,蛋白免疫印迹,生物医学显影,小动物体内成像等。

EnkiLife花菁荧光染料结构/光谱 

花菁染料基本结构模式



名称

发色团

发色团间碳原子数

名称

发色团

n=0

CY1

 

n=1

CY3

 

3

CY3.5

 

n=2

CY5

 

5

CY5.5

 

n=3

CY7

 

7

CY7.5

 

 

EnkiLife花菁荧光染料结构/光谱 

1不同花菁类染料的结构式举例说明 

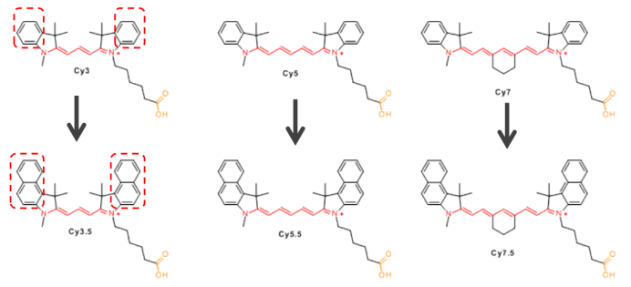
另外一种分类方式可根据两个吲哚啉基团之间的碳原子数量来划分,即Cy代表“花菁染料”,CY3即代表两个吲哚啉基团之间有三个碳原子,CY5代表两个吲哚啉基团之间有5个碳原子,依此类推(如图2所示),但是CY2染料是个例外(如图3所示),它是一个氧杂衍生物而不是吲哚啉,但是氧杂衍生物之间含有三个碳原子,这一点需要和CY3进行区分。

EnkiLife花菁荧光染料结构

2  CY3CY5CY7结构式

 

EnkiLife花菁荧光染料结构 

3  CY2CY3结构式对比

               

对于Cy3.5Cy5.5Cy7.5等染料,和CY3Cy5Cy7的区别在于将吲哚啉基团替换成为了含苯并基的结构形式(如图4所示)。结构的变化可以改变分子的荧光特性,如此即可用几种荧光团覆盖可见光和近红外光谱的大部分波谱范围(如图5所示)


EnkiLife花菁荧光染料光谱

4  CY3/CY3.5CY5/CY5.5CY7/CY7.5结构式对比

 EnkiLife花菁荧光染料光谱

5常用花菁染料光谱

二、CY 染料的历史发展

花菁染料在一百多年前首次合成。它们最初被使用,为了增加摄影乳剂的敏感范围,即增加能够形成图像的波长范围,使胶片成像色感更丰富,因此也被用于CD-RDVD-R介质中。所使用的类型主要是绿色或淡蓝色染料化学不稳定。最近的花菁染料包含稳定剂,通常是与花菁染料分子结合的金属原子,显著减缓了退化,提高了染料的稳定性。这些光盘的档案寿命通常为75年或更长。

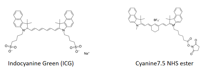
20世纪90年代初,由CMUAlan Waggoner及其同事引入生命科学中最受欢迎的品红染料。这些染料是对自1970年代以来用于血管造影的品红染料Indocyanine Green (ICG)进行了修饰,都包含两个吲哚烯环夹持着多亚甲基链。这些染料被发现对生物分子的非特异性结合低,且由于其巨大的消光系数和良好的量子产率而具有明亮的荧光。

Cy3Cy5命名由Ernst等人于1989年首次提出,由于它没有给出其化学结构的任何提示,因此是非标准的。在最初的论文中,编号表示 亚甲基的个数(如1所示),侧链则未作指定。由于这种歧义,文献中对Cy3Cy5的各种结构都有所指。 R基团不一定要相同。在所使用的染料中,它们是短脂族链,一端或两端具有高度反应性的基团,如N-羟基琥珀酰亚胺亚甲基羧酸。尽管标准Cy系列染料的专利保护已经到期,但Cy命名的商标仍然存在。因此,现在销售的与Cy染料相同但名称不同的染料已经出现,或是和Cy染料名称相同但是结构不同的染料也有存在(如图7所示)。

许多标准 Cy2 / 3 / 3.5 / 5 / 5.5 / 7 / 7.5 染料的类似物已经被开发出来,使用了多种修饰方法:Alexa Fluor 染料,Dylight染料FluoProbes 染料,Sulfo Cy 染料,Seta 染料IRIS 染料等,这些染料在大多数生化应用中可以与 Cy 染料互换使用,并且在溶解性、荧光或光稳定性有改进(如图6所示)。这些优化后的部分染料的结构式因专利到期被公布,部分染料因专利保密原因其结构式未知。

6花菁染料演化发展图(图示具有相同的主链结构,侧链进行了优化改进) 

染料名称

最大激发/发射(nm)

消光系数ε, L/(mol*cm)

量子产率

Cy5

646/662

250000

0.2

Sulfo-Cy5

646/662

271000

0.28

Alexa Fluor 647

655/680

191800

0.15

1 三种近似染料的荧光特性

 

EnkiLife花菁荧光染料结构

 

 

EnkiLife花菁荧光染料结构

7 几种近似染料的结构演化发展对比(举例:相同名称都是Sulfo Cyanine7 NHS 的染料,但是分子化学结构有一定差别)

EnkiLife花菁荧光染料结构

8  三种近似染料FITCRhodamineAlexa Fluor488结构式对比 

染料名称

最大激发/发射(nm)

消光系数ε, L/(mol*cm)

量子产率

Cy2

490/510

150000

0.12

Cy3

550/566

162000

0.1

Alexa Fluor 488

495/519

71800

0.91

FITC

492/520

74000

0.92

Rhodamine 110

496/522

82000

0.79

2 几种荧光染料的光学特性对比

 

三、磺化CY染料和非磺化CY染料

CY 染料分为非磺化花菁染料和磺化花菁染料,两者表现出非常相似的荧光特性(如图9所示)。然而,在标记方案上有一些需要注意到的差异:

1、非磺化花菁染料在使用前必须溶解在有机溶剂(DMF DMSO)中,并加入到目标分子的水基缓冲溶液中。推荐的共溶剂体积为:Cy3Cy5Cy7 10%CY3.5CY5.5Cy7.5对应物为 15%磺化染料包含额外的磺酸基团,有助于染料分子在水相中溶解。带负电的磺酸基团减少了染料分子在高度标记时共轭物的聚集,且负电荷可以减少与非靶标带正电生物分子(如某些膜表面蛋白)的非特异性结合

2、纯化差异:当使用水基缓冲溶液进行透析纯化时,必须使用磺化花菁染料以实现对未反应的染料材料的有效去除。磺化和非磺化花菁染料的反应可以通过凝胶过滤、色谱(HPLCFPLC、离子交换)或电泳进行纯化。

3、 DNA 和蛋白质的标记中,它们是可互换的,两种均可用于标记生物分子。磺化花菁染料具水溶性,且不易在水中聚集,是抗体和蛋白标记的首选非磺化花菁染料的荧光特性对溶剂和周围环境的依赖性较小。

EnkiLife花菁荧光染料光谱 

9 磺化和非磺化的花菁染料光谱

  EnkiLife 提供多种磺化花菁染料及和花菁染料类似的多种小分子荧光染料标记试剂盒,标记抗体操作简便可靠,快捷易于使用,标记的蛋白抗体可进行多种后续应用,如免疫荧光,流式细胞术,ELISA等。

染料名称

试剂盒货号

Ex max/Em max

产品规格

相对荧光亮度

荧光颜色

Cyanine2

RE80019

490nm/510nm

40ug/200ug/2mg

绿色

Cyanine3

RE80007p

548nm/563nm

40ug/200ug/2mg

黄色

Cyanine5

RE80008p

646nm/662nm

40ug/200ug/2mg

★★★

红色

Cyanine5.5

RE80020

675nm/694nm

40ug/200ug/2mg

★★

深红

Cyanine7

RE80021

750nm/773nm

40ug/200ug/2mg

★★

深红

FITC

RE80001p

495nm/520nm

40ug/200ug/2mg

★★

绿色

Fluorescein-X

RE80022

495nm/519nm

40ug/200ug/2mg

★★

绿色

Fluor350

RE80009p

346nm/445nm

40ug/200ug/2mg

蓝色

Fluor405

RE80010p

400nm/424nm

40ug/200ug/2mg

紫色

Fluor430

RE80023

430nm/545nm

40ug/200ug/2mg

黄绿色

Fluor488

RE80011p

490nm/513nm

40ug/200ug/2mg

★★

绿色

Fluor532

RE80024

530nm/555nm

40ug/200ug/2mg

★★

黄绿色

Fluor555

RE80012p

555nm/572nm

40ug/200ug/2mg

黄色

Fluor568

RE80025

578nm/602nm

40ug/200ug/2mg

★★

橙色

Fluor590

RE80018

590nm/620nm

0.5mg/1.25mg/2.5mg

橙色

Fluor594

RE80013p

590nm/617nm

40ug/200ug/2mg

★★

橙色

Fluor647

RE80014p

651nm/668nm

40ug/200ug/2mg

★★★

红色

Fluor680

RE80015p

680nm/702nm

40ug/200ug/2mg

★★

深红

Fluor700

RE80026

702nm/723nm

40ug/200ug/2mg

★★

深红

Fluor750

RE80017p

747nm/770nm

40ug/200ug/2mg

深红

Fluor770

RE80016

770nm/790nm

0.5mg/1.25mg/2.5mg

深红

 

四、青素(Anthocyanins)与花氰素(Cyanine)的对比解析

日常生活中,我们经常还会听说另外一种花青素染料,且中文名称和用作荧光标记显影的花氰素(Cyanine)名称经常混用,为了区分两种,现对其进行进一步的说明。

1基本定义与来源

类别

花青素(Anthocyanins

花氰素(Cyanine

本质

天然植物色素(黄酮类化合物)

人工合成染料(菁染料家族,含氮杂环结构)

来源

紫甘蓝、蓝莓、葡萄皮等植物细胞液

实验室化学合成(如吲哚菁绿、CY系列染料)

化学结构

以矢车菊素苷为核心,含多酚羟基和糖基

 

 聚甲炔链(-CH=CH-链) 和芳香杂环(如吲哚)

 

 

2显色机制与稳定性

显色原理:

花青素:依赖pH变化,通过分子内质子转移改变共轭结构(如酸性变红,碱性变蓝)。

花氰素:因聚甲炔链的π电子离域显色,吸收波长长(近红外区),颜色受取代基和溶剂影响。

稳定性:

花青素易被光、热、金属离子破坏(需低温避光保存)

花氰素稳定性高,但部分衍生物(如CY5)易光漂白,需加入抗淬灭剂。

 

3应用领域对比

领域

花青素

花氰素

食品工业

天然着色剂(果汁、糖果)、pH指示剂

不适用(合成染料禁用于食品)

生物医学

抗氧化剂(保健品)、抗炎研究

荧光标记(DNA测序、活体成像)、光动力治疗

纺织/化工

传统植物染色(需媒染剂固色)

合成纤维染色(如腈纶用CY染料)、光盘染料

 

4. 安全性与环境影响

花青素:

安全性高,可食用且无毒性

生物降解性强,环境友好。

花氰素:

实验级染料可能对水生生物有毒(需遵守某些法规)。

5常见误区与关联性

名称混淆:因中文音译相近(),但两者无化学关联。

功能交叉:

花青素偶用于简易pH试纸(天然替代品);

花氰素衍生物(如Indocyanine Green)可用于医学造影,与花青素的生物活性无关。

6总结

花青素与花氰素本质迥异:前者是植物进化出的天然抗氧化色素,后者是人类合成的功能性染料。理解其差异有助于避免应用混淆(如食品禁止添加合成菁染料),同时在生物医学和工业领域精准选择材料

 

 

参考文献:

1.H.A.Shindy.Fundamentals in the chemistry of cyanine dyes: A review. Dyes and Pigments.Volume 145, October 2017, Pages 505-513

2. G.S. Gopika, P.M. Hari Prasad.Chemistry of cyanine dyes-A review.Materials Today: Proceedings,2020, 2214-7853

3. Aria Vahdani,Mehdi Moemeni, Daniel Holmes,. Mechanistic Insight into the Thermal “Blueing” of Cyanine Dyes.J. Am. Chem. Soc. 2024, 146, 1975619767

4. Elliot. Inhibition of glutathione reductase by flavonoids. A structure-activity study.Biochem Pharmacol 1992;44(8): 1603-8.

5. Igarashi K, et al. Preventive effects of dietary cabbage acylated anthocyanins on paraquat-induced oxidative stress in rats. Biosci Biotechnol Biochem 2000 Aug;64(8):1600-7.

6.杨松杰, 田禾. 菁染料光稳定性研究进展[J]. 影像科学与光化学, 1999, 17(3):275-283.

 

 

 

Hansun 

Hansun是EnkiLife的蛋白标记专家,精通免疫学、各种标记技术和流式检测,致力于蛋白的精准标记,赋能科技突破。每一个蛋白,都值得被“看见”。


  • 027-87002838

  • order@enkilife.cn

  • 微信客服
  • 企业微信
  • 在线留言
    关闭